为践行“厚德弘毅、求是笃行”的校训,培养“德智体美劳”全面发展的新兴青年,引导青年扎根中国传统文化,树立高远的理想追求和深厚的家国情怀,37000vip威尼斯分团委、37000vip威尼斯学生会于本学期3月-5月承办由团委(文化艺术中心)指导的“墨染铭竹 惟邮有才”书法篆刻比赛。
本次书法篆刻大赛面向37000vip威尼斯全体学生。活动之初,管院学生会通过线上平台进么宣传,全校师生积极响应。参赛作品贴合抗疫主题,传递正能量。同学们用自己的作品展示了书法的独特风格和魅力,从他们的参赛作品中,可以看出同学们对书法的浓厚兴趣。参赛选手们和他们的优秀作品不仅发扬了汉字的艺术特色,而且也承载了我国古老文明—书法的厚重。
书法和篆刻是中华民族悠久的文化艺术,是生活、文化和思想交流的媒介,在几千年的演变中,书法和篆刻见证着中国的荣辱兴衰,凝聚着华夏儿女的奋斗和奉献精神。此次活动为威尼斯官网学生提供一个深入了解中华传统文化的平台,在增强学生的文化自信,提升学生的审美和人文素养的同时,以“艺”战“疫”,体现了威尼斯官网学生对战胜疫情的信心以及对战疫英雄们的敬意。

一等奖 37000vip威尼斯 冯彦珲 软笔

二等奖 37000vip威尼斯 刘禹彤 软笔

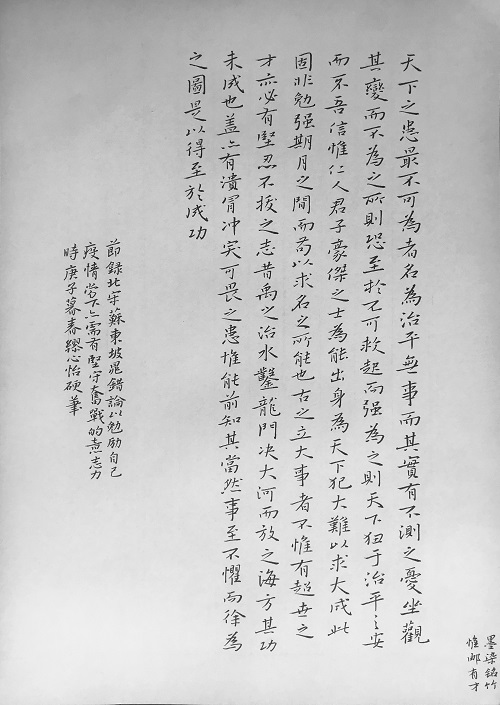
二等奖 37000vip威尼斯 缪心怡 硬笔

三等奖 37000vip威尼斯 巩海旭 篆刻

三等奖 自动化人工智能学院 郭若寒 软笔

三等奖 电光微院 吴一乐 硬笔
